본문 바로가기
주메뉴 바로가기
이동할 직렬을 선택해주세요.
지안에듀의 문제은행을 실전처럼 활용해보세요.
총 20문제가 검색되었습니다.
다음은 1 이상인 x에 대해 1부터 x까지의 합을 계산하는 C 함수이다. (가)에 들어갈 코드는?
x + 1
x - 1
sum(x + 1)
sum(x - 1)
다음 설명에 해당하는 알고리즘은?
다익스트라(Dijkstra) 알고리즘
라빈-카프(Rabin-Karp) 알고리즘
보이어-무어(Boyer-Moore) 알고리즘
플로이드-워셜(Floyd-Warshall) 알고리즘
분할 정복(divide and conquer) 방식의 정렬 알고리즘만을 모두 고르면?
ㄴ
ㄱ, ㄴ
ㄱ, ㄷ
ㄴ, ㄷ
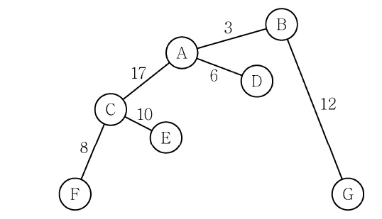
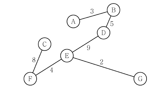
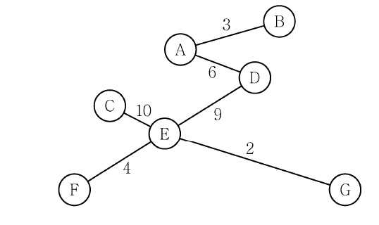
다음 그래프에서 크루스칼(Kruskal) 알고리즘을 사용하여 만든 최소 비용 신장 트리(minimum cost spanning tree)는?
충분히 큰 n에 대해서 수행 시간이 가장 많이 걸리는 시간 복잡도는?
다음 의사코드에 해당하는 알고리즘 설계기법은?
그리디(greedy) 알고리즘
유전자(genetic) 알고리즘
분기 한정(branch and bound) 기법
동적 프로그래밍(dynamic programming)
다음 그래프의 A 정점부터 너비 우선 탐색(BFS, breadth first search)을 할 때, 가능한 정점의 방문 순서가 아닌 것은?
A⟶B⟶C⟶D⟶F⟶G⟶E⟶H
A⟶B⟶D⟶C⟶E⟶F⟶G⟶H
A⟶C⟶B⟶D⟶F⟶G⟶E⟶H
A⟶C⟶D⟶E⟶B⟶F⟶H⟶G
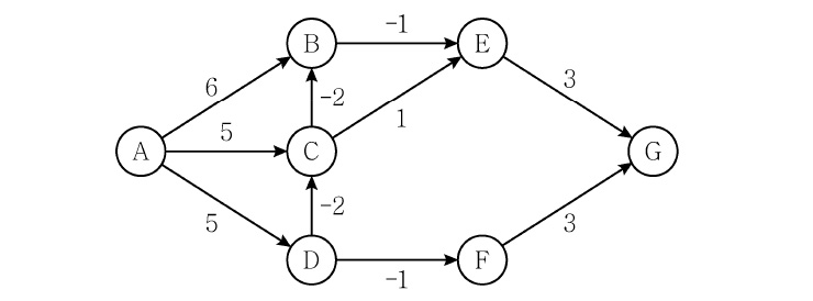
다음 방향 그래프에 벨만-포드(Bellman-Ford) 알고리즘을 적용한 후, 각 정점과의 최단 거리 값을 바르게 연결한 것은? (단, 시작 정점은 A 정점이다)
A : 0 B : 1 C : 1 D : 5 E : -1 F : -1 G : 3
A : 0 B : 1 C : 3 D : 5 E : 0 F : 4 G : 3
A : 0 B : 3 C : 2 D : 2 E : 3 F : 2 G : 6
A : 0 B : 3 C : 5 D : 5 E : 6 F : 4 G : 7
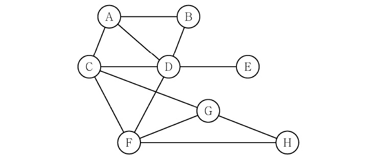
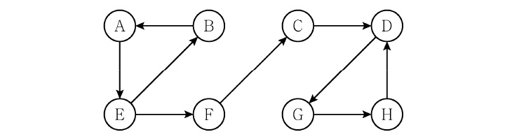
다음 방향 그래프에서 2개 이상의 정점이 포함되어 있는 강한 연결 요소(strongly connected component)의 개수는?
1
2
3
4